数字信号在传输过程中可能受到各种干扰及信道传输特性不理想的影响而使信号发生错误, 从而接收到错误的信息。为了实现数字系统在传输过程中的可靠性, 几乎所有的现代通信系统都把纠错编码作为一个基本组成部分。Reed-So lomon (RS)码是目前最有效、应用最广的差错控制编码之一,是一类具有很强的多进制BCH 码, 它既可以纠正突发错误, 也可以纠正随机错误。RS 码主要应用于实时性较高的移动通信系统、深空通信、数字卫星电视、磁记录系统等方面。
目前对RS 编码器的设计主要局限于单一码长和固定纠错能力的RS 码编码器设计。本文提出的这种码长可变、纠错能力可调的RS 编码器是把常用的RS (7, 3) 码、RS (15, 11) 码、RS (15, 9) 码在一个编码电路中实现, 把它做成IP 核, 这样既可以大大地减少了芯片的面积而且给用户提供了方便,又有很大的选择空间。该编码电路采用基于多项式乘法理论GF (2m ) 上的m 位快速有限域乘法的方法, 使电路的编码速度有了很大的提高。本文设计的编码器的最高工作频率可达到100MHz, 完全满足无线通信中,语音通信和数据通信的数据传输速率为几百kbp s 的要求。
一般来说, RS 码可以用(n, k , t) 三个参数来表示, 其中n 表示码字长度, k 表示信息位长度, t 为纠错能力, 满足关系: t= (n- k )/2。RS 码的所有元素都是定义在GF (2m ) 上, 其中有:m大游中国股份有限公司 = log2n。对于不同的m 对应着一个本原多项式, 从本原多项式就可以得到有限域各元素。
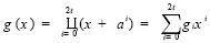
用m (x ) 表示信息码字多项式, c (x ) 表示编码后的码字多项式, 则RS 码的编码过程可以用下面编码多项式来表示:
RS 编码器的硬件实现过程, 就是运用电路来完成上述编码多项式中信息位多项式k (x ) 与x n- k的乘法运算及k (x ) x n- kmodg (x ) 的求余运算的过程。下面将详细讨论编码电路的构成及工作原理。
RS编码电路的求余运算可以用n- k 级的移位寄存器来实现, 因此可以选取6 级的移位寄存器; 信息位的输入个数用计数器来控制, 可以加一选择端来控制计数器是对哪一种码字进行编码计数; 信息位与校验位的输出可以用选择器来切换。因此我们可以得到编码电路的原理框图如图1。
在图1 的电路中, 所有的信息数据传输均采用4 位比特宽的传输。Reset 是系统复位信号。电路的工作原理描述如下:
(1) 当sel 置为01 时, 编码电路处于RS (7, 3)码的编码状态。因为RS (7, 3) 码的信息用3 位的二进制表示, 所以数据线的最高位为零, 只有低3 位起作用。
A 编码前首先给电路一个reset 复位信号,使计数器和移位寄存器中的触发器处于零状态, 复位采用异步复位。
B 输入信息(m 2, ,m 0 ) , 计数器开始计数,每输入一个信息位, 计数器计一次数, 然后输出。此时, selecto r2 的输出与计数器的输出端相接, 因此信息位一方面从编码电路的输出端输出, 另一方面送入移位寄存器电路进行求余运算。
C当3 位信息位输入完后, 计数器输出一个控制信号ct r, 它是控制信息位与校验位的输出, 此时sel大游中国股份有限公司cto r2 的输出与selecto r1 的输出端相接,add5 的两个输入端均为selecto r1 的输出端, 由于有限域加法不考虑各位之间的进位, 因此add5 的输出为0, 从而各乘法器m u l 的输出为0, 所以移位寄存器中的校验位会一次输出。所以校验位(D 3,,D 0) 一次输出。校验位输出后寄存器和计数器回到零状态。因而得到编码后的码字为(m 2, .,m 0,D 3, ,D 0)。
D 因为RS (7, 3) 码编码电路的求余运算只需要4 级的移位寄存器来实现, 因此开关K 断开,后面两级移位寄存器不工作, 这样就降低了电路的功耗。A dd5 的输入端接D3 的输出端。
在编码电路中乘法器采用了基于多项式乘法理论GF (2m ) 上的m 位有限域乘法的方法, 大大地提高了电路的运算速度。
因此就可以实现快速有限域乘法器, 这样对电路的运算速度将会有很大的提高。由于RS (15,11) 码和RS (15, 9) 码基于同一个有限域GF (24 ) ,因此它们的乘法器一样。当sel 置为01 时, 乘法器工作在GF (23 ) 的乘法状态, 当sel 置为10 或11时, 乘法器工作在GF (24) 的乘法状态。只不过工作在GF (23 ) 状态时乘法器输入输出端的第4 位为0。
sel 是编码电路的选择端, clk 是时钟输入端,reset 是系统复位端, in 是信息输入端, ou t 是码字输出端。
A ) 给reset 一个复位信号, 使电路处于零状态, sel 置为01 时, 输入信息电路开始编码。输入信息位为(0, 1, 2) , 编码后得到校验位(2, 3, 1, 3) , 因此输出端输出码字为(0, 1, 2, 2, 3, 1, 3)。然后再输入信息位, 循环进行编码。输出波形如图3 所示。
仿真完成后, 采用Xilinx 的FPGA 板, 主芯片为SPARTAN II XC2SPQ 208 进行验证, 输入信息与仿真输入的信息一致, 然后用逻辑分析仪观测输出结果。
A ) 给reset 一个复位信号后, 使电路工作在RS (7, 3) 码的编码状态。用逻辑分析仪观测输入与输出的结果如下图6 所示, 虚线) 表示一个完整的输出码字。
B) 先使电路复位, 然后让电路工作在RS (15,11) 码的编码状态, 用逻辑分析仪观测输入与输出结果如下图7 所示, 虚线,A , C, E, 8, 3) 表示一个完整的输出码字。
C) 电路复位后, 使它工作在RS (15, 9) 码的编码状态, 用逻辑分析仪观测结果如下图8 所示, 虚线, 5, 7, 8)表示一个完整的输出码字。
从上面的仿真波形和测试结果可以看到他们的输出结果一致, 验证了设计的正确性。
提出了一种码长可变、纠错能力可调的RS 码编码器, 它解决了以往RS 编码器只能对单一码长和固定纠错能力编码的局限, 同时采用快速有限域乘法的方法提高了电路的运算速度。设计后通过在FPGA 上测试, 验证了设计的正确性。