天猫旗舰店页面消失,客服电话提示“尚未登录”,这个曾被比尔·盖茨和莱昂纳多·迪卡普里奥背
大游中国股份有限公司 国家知识产权局信息显示,沈阳泽然生物科技有限公司取得一项名为“基于物
最近美股市场回暖,生物科技板块表现挺稳的。美联储可能降息的消息让市场情绪好转,BG大游官
作为战略性新兴产业,生物制造已成为我国提升新质生产力的重要支撑。日前,中国科学院天津工业生物技术研究所(以下简称“天津工生所”)牵头的“微生物平行生
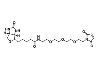
大游中国股份有限公司大游中国股份有限公司生物素三聚乙二醇马来酰亚胺(Biotin-PEG3-Mal)是一种重要的生物偶联试剂。 :
因生物识别登机功能违反GDPR要求,西班牙机场运营集团Aena被罚款超8200万元;
消息面上,药明生物12月2日宣布,已与卡塔尔自由区管理局(QFZ)签署战略合作备忘录,将